Create B(H) curve

1. Create a B(H) curve – Main principles

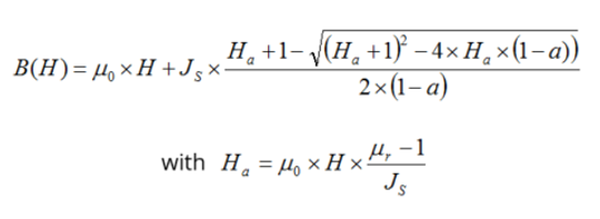
The model consists of a combination of a straight line and a curve. A coefficient allows for the adjustment of the knee shape for better approximation of the experimental curve.

The corresponding mathematical formula is written as follows:



μ0 Permeability of vacuum.
μr Initial relative permeability of the material.
H Magnetic field (A/m).
Js Magnetic polarization at saturation (T).
a

Knee coefficient of the curve (a > 0 and a ≠ 1).

The smaller coefficient will give, the sharper knee point.

The impact of the knee coefficient “a” on the shape of the B(H) curve is illustrated in the below figure.



Shape of B(H) curve with the function of knee coefficient

2. Create a B(H) curve – Process

A linear or non-linaer B(H) curve is considered.

In the first case, only the constant value of the relative permeability must be given by the user. If a lamination is considered, the relative permeability of the lamination stack is automatically deduced.

If a non-linear B(H) curve is considered, these three main parameters of the magnetic characteristics must be defined:

  • The magnetic polarization at saturation J S

  • The magnetic permeability (µ r )

  • And the knee coefficient a

If a lamination is considered, the corresponding magnetic characteristic is automatically deduced.

3. Define a B(H) curve from user input parameters

Here is the process to define the B(H) curve from the “Materials” application. In this example, it is considered that the user knows exactly the coefficients to be set.



Characterization of the B(H) curve
1 When creating a new material or when editing the properties of an existing one, a tab is dedicated to the magnetic data.
2 In the example above, the linear B(H) characteristic of a lamination is considered
3 Only the relative permeability of the corresponding solid material is given.

The resulting relative permeability of the lamination stack is automatically deduced (considering the stacking factor mentioned in the mechanical data) and displayed in a disabled field (below).

4-5 In another example, the non-linear B(H) characteristic of a lamination is considered.
6 The three main parameters of the magnetic characteristic that must be given are:
  • The magnetic polarization at saturation (J S )
  • The magnetic permeability (µ r )
  • And the knee coefficient a
The resulting magnetic characteristics of the lamination stack is automatically deduced (considering the stacking factor mentioned in the mechanical data) and displayed in a disabled field (below).
7 Another method is possible to define the B(H) curve characteristics of a material.If the user has measurement or computation points representing the B(H) curve to model, it is possible to import these data to define the corresponding characteristics.This consists of importing a B(H) curve via an Excel file and identifying the three parameters J S , µ r and knee coefficient with an optimization process. Click on the icon “Fit” to run this process.

4. Define a B(H) curve from experimental data

Here is the process to define the characteristics of the B(H) curve from the importation of a series of points representing the B(H) curve listed in an Excel file.



Identification of the B(H) curve characteristics
1 Dialog box allowing the characterization of the B(H) curve imported from an Excel file
2 Path where Excel file to be imported is stored. See an example of Excel file below.
3 When importing an Excel file, points representing the B(H) curve are listed, an optimization process automatically computes and displays the corresponding characteristics Js, µr and a. At the same time three curves are displayed: Red points are the imported points (listed in the Excel file)Green curve is the resulting curve computed by the optimization process. This corresponds to the computed characteristics and displayed just after the computation.The blue curve shows modifications induced if the characteristics Js, µr and a are changed by the user.
4 Indeed, the user can adjust one or all the three main characteristics of the B(H) curve: Js, µr and a. The resulting modification is directly displayed on the graph below.
5 Field in which the path where the Excel file to be imported is stored.
6 At any time, the user can run the optimization process to get back the proposed values for Js, µr and a.
7 It is possible to run the optimization process by considering only two variables Js and a. In that case µr is imposed by the user
8 The last values of JS, µr and a, written in the input fields are validated when the user clicks on this button. Validation of the last values of Js, µr and “a” is achieved when clicking on this button. It is possible to cancel the creation of the B(H) curve model. In this case, the previous values defined before opening this dialog box are reset.

Example of an Excel file to define the B-H curves parameters.



Example of an Excel file to define the B(H) curve parameters