1. Resistivity
Note: Only isotropic materials are considered.
Note: Resistivity ρ (rho) is a linear function of
temperature.
The corresponding mathematical formula is:
ρ T
|
Resistivity to be defined at a temperature T.
Linear function of the temperature for an isotropic or anisotropic
material. |
T REF
|
Reference temperature. |
T |
T is the temperature for which the resistivity must be
computed. |
ρ REF
|
Resistivity of the material at T REF . |
a |
Temperature coefficient at T REF . |
2. Thermal conductivity for all materials except gas and
liquid
The thermal conductivity is defined at a reference temperature
and is considered as constant for all thermal computations.
The reference temperature is then only a memo, to keep in mind
the temperature corresponding to the indicated thermal
conductivity.
Symbol
|
Definition
|
Unit
|
T ref
|
Reference temperature (Tref) |
°C |
K ref
|
Isotropic thermal conductivity at Tref W/K/m) |
W/K/m |
3. Specific heat variation versus temperature – For all
material except gas and liquid
The specific heat is defined at a reference temperature and is
considered as constant for all thermal computations.
The reference temperature is then only a memo, to keep in mind
the temperature corresponding to the indicated specific heat.
Symbol
|
Definition
|
Unit
|
T ref
|
Reference temperature (Tref) |
°C |
C ref
|
Specific heat at Tref (J/K/Kg) |
J/K/Kg |
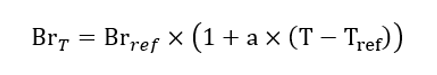
4. Remanent induction of magnets
Note: Only isotropic magnet is considered.
Note: Remanent induction (Br) is a linear function of the
temperature.
The corresponding mathematical formula is:
Br T
|
Remanent induction to be defined at a temperature T.
Linear function of the temperature for an isotropic or anisotropic
material. |
T ref
|
Reference temperature. |
T |
T is the temperature for which the remanent induction must be
computed. |
Br ref
|
Remanent induction of the magnet at T REF . |
a |
Reverse temperature coefficient for Br at T REF
. |
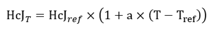
5. Intrinsic Coercivity
Note: Only isotropic magnet is considered.
Note: Intrinsic Coercivity (HcJ) is a linear function of the
temperature.
The corresponding mathematical formula is:
HcJ T
|
Intrinsic Coercivity to be defined at a temperature T.
Linear function of the temperature for an isotropic or anisotropic
material. |
T ref
|
Reference temperature. |
T |
T is the magnet temperature for which the Intrinsic Coercivity
must be computed. |
HcJ ref
|
Intrinsic Coercivity of the magnet at T REF . |
a |
Reverse temperature coefficient for Hcj at T REF
. |