Hensel Spittel Model
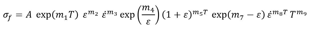
Temperature, strain, and strain rate dependent Hensel Spittel model used in HyperXtrude is given by the following expression. It has a built-in temperature dependence in the equation and it is used all the time.


Workpiece Aluminium { | ||
ConstitutiveModel = | "HenselSpittel" | |
Density = | ρ | |
SpecificHeat = | Cp(T) | |
Conductivity = | K(T) | |
CoeffOfThermalExpansion = | βT | |
VolumetricHeatSource = | Qvol | |
ReferenceTemperature = | T | |
LiquidusTemperature = | Tl | |
SolidusTemperature = | Ts | |
Coefficient_A = | A | |
Coefficient_m1 = | m1 | |
Coefficient_m2 = | m2 | |
Coefficient_m3 = | m3 | |
Coefficient_m4 = | m4 | |
Coefficient_m5 = | m5 | |
Coefficient_m7 = | m7 | |
Coefficient_m8 = | m8 | |
Coefficient_m9 = | m9 | |
MinStrainLimit = | 0.5 | |
MaxStrainLimit = | 5.0 } |