Norton-Hoff Model
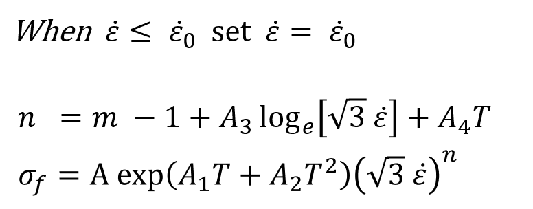
Temperature, strain, and strain rate dependent Norton-Hoff model used in HyperXtrude is given by the following expression.


| Workpiece | Aluminum | { |
| ConstitutiveModel = | "PowerLaw" | |
| Density = | ρ | |
| SpecificHeat = | Cp (T) | |
| Conductivity = | K (T) | |
| CoeffOfThermalExpansion = | βT | |
| VolumetricHeatSource = | Qvol | |
| Amplitude = | μ0 | |
| ConstantY = | Y | |
| StressRateHardeningExponent = | m | |
| ReferenceTemperature = | T0 | |
| SolidusTemeprature = | Ts | |
| LiquidusTemeprature = | T1 | |
| TemperatureDependence = | "Exp (A1T+A2T^2)" | |
| StrainOffset = | ε | |
| TemperatureConstantA1 = | A1 | |
| TemperatureConstantA2 = | A2 | |
| TemepratureConstantA3 = | A3 | |
| TemperatureConstnatA4 = | A4 | |
| YoungModulus = | E | |
| PoissonRatio = | ν } |