Carreau Yasuda Model
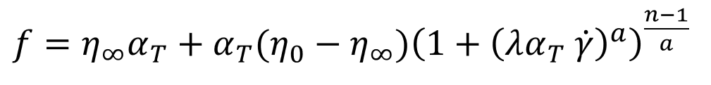
Carreau Yasuda model is expressed by the following equation. This model has five parameters, zero shear viscosity, infinite shear viscosity, time constant, transition parameter, and power law exponent.


This model has a well defined upper (zero shear viscosity) and lower (infinite shear viscosity) limits for the polymer viscosity. Typically, the value of transition parameter is 2. Time constant lambda alters the nonlinear behavior of the fluid and its dependence on the shear rate. If the time constant is 0, then the fluid becomes Newtonian, with a high value for the time constant, eta becomes a strong function of shear rate. By suitable choice of parameters, many other models can be mimicked by this model.
Syntax
| Polymer | PolymerName | { |
| ConstitutiveModel = | "Carreau" | |
| Density = | ρ | |
| SpecificHEat = | Cp (T) | |
| Conductivity = | K (T) | |
| CoeffOfThermalExpansion | ρ | |
| Volumetric Heat Source = | Qvol | |
| TimeConstant = | λ | |
| Exponent = | n | |
| ZeroShearViscosisty = | η0 | |
| InfiniteShearViscosity = | ηinf | |
| TransitionParameter = | a | |
| TemperatureDependence = | "None" } |
| Parameter | Description | Units | Data Type | Condition | Typical Value |
|---|---|---|---|---|---|
| ConstitutiveModel | Describes the model used | None | String | Required | "Carreau" |
| Density | Density of the polymer | kg/m^3 | Constant | Required | 995.0 |
| SpeicficHeat | Specific heat at constant pressure | J/kg/K | Constant/F(T) | Required | 2000.0 |
| Conductivity | Thermal conductivity | W/m?k | Constant/F(T) | Required | 0.167 |
| CoeffOfThermalExpansion | Indicates the change in volume with change in temperature | 1/K | Constant | Required | 1.0e-05 |
| VolumetricHeatSource | Heat generated/removed in the volume by methods like elctrical heating | W/m63 | Constant | Required | 0.0 |
| Exponent | Power law index, defines the dependency of viscosity on shear rate | None | Constant | Required | 0.66 |
| ZeroShearViscosity | Value of viscosity as shear rate tends to 0 | Pa-s | Constant | Required | 100.00 |
| InfiniteShearViscosity | Value of viscosity as shear rate tends to infinity | Pa-s | Constant | Required | 0.1 |
| TransitionParameter | A parameter of Carreau Yasuda model | None | constant | Required | 2 |
| TimeConstant | A parameter of Carreau Yasuda model | s | Constant | Required | 1 |
| TemperatureDependence | See temperature Dependence | None | string | Required | "WLF" |
| ReferenceTemeprature | Temperature at which data is calculated for the initialization step. | K | Constant | Required only if TD is not "None" | 533 |
| FreezeTemperature | This is the no flow temperature. Below this temperature, material ceases to flow. | K | Constant | Required only if TD is not "None" | 350 |
| ActivationEnergy | A parameter required by Arrhenius model. | J/mol | Constant | Required only if Td is Exp(Q/RT) | 1662 |
| UniversalGasConstant | A parameter from state equation PV = nRT, R is universal gas constant | J/mol/K | Constant | Required onlyh if TD is Exp (Q/RT) | 8.314 |
| TemperatureSensititvy | A derived parameter which has the same physical meaning as Q/R. | K | Constant | Required only if TD is Exp(Tb/T) | 2000 K |
| WLFConstant1 | Constant C1 of WLF model | none | Constant | Required only if TD is WLF | 17.44 |
| WLFConstant2 | Constant C2 of WLF model. This is like DeltaT, hence the value is same in K and Celsius. | K | Constant | Required only if TD is WLF | 51.6 |
| GlassTransitionTemperature | Temperature below with polymer molecules ceases to move (frozen). There are few definitions of this term. | K | Constant | Required only if TD is WLF | 320 |
| Beta | Parameter in the relationship Exp(-Beta(DeltaT)) | None | Constant | Required only if TD is exp(-Beta(Delta T)) | 0.005 |
F(T) - Function of Temperature. Can be specified as a TABLE1 or tcl function.
TD - TemperatureDependence.