Modified Cross Model
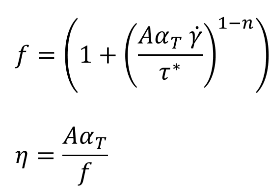
Modified Cross model is expressed by the following equation. This model has three parameters: consistency A, exponent n, and reference shear stress t*. Consistency is modified using the temperature dependent function a_T to introduce the effect of temperature on the computed viscosity. There is a very subtle difference between Cross and Modified Cross model, this difference enables (by appropriate choice of parameters) one to easily set up Carreau-Yasuda model to mimic the modified Cross model.


This model describes the viscosity using a power-law relationship. The factor (A alpha_T/tau*) is like a time constant in the equation. Depending on the value of the exponent used, the nature of the model will change.
n < 1 Shear thinning or Pseudoplastic
n > 1 Shear thickening or dilalatant
n = 1 Newtonian
For most polymers, Exponent n is less than 1. When the exponent is less than 1, viscosity of the polymer decreases with increase in the shear rate. This behavior is called shear thinning. On the other hand, when the exponent is greater than 1, viscosity increases with shear rate and this behavior is called shear thickening. Refer to the section Power Law Model for a detailed discussion of this concept.
Explanation of Parameters
Parameter | Description | Units | Data Type | Condition | Typical Value |
---|---|---|---|---|---|
ConstitutiveModel | Describes the model used | None | String | Required | "ModifiedCross" |
Density | Density of the polymer | kg/m^3 | Constant | Required | 995.0 |
SpecificHeat | Specific heat at constant pressure | J/kg/K | Constant/F(T) | Required | 2000.0 |
Conductivity | Thermal conductivity | W/m?k | Constant/F(T) | Required | 0.167 |
CoeffOfThermalExpansion | Indicates the change in volume with change in temperature | 1/K | Constant | Required | 1.0e-05 |
VolumetricHeatSource | Heat generated/removed in the volume by methods like elctrical heating | W/m63 | Constant | Required | 0.0 |
Consistency | One of the parameters of the modified Cross model | Pa | Constant | Required | 0.01 |
Exponent | Power law index, defines the dependency of viscosity on shear rate. | None | Constant | Required | 0.66 |
ReferenceShearStress | One of the parameters of the modified cross model. | Pa | Constant | Required | 75000 |
ZeroShearRateLimit | Defines the trunctation limit for shear rate. See Power law model. | 1/s | Constant | Required | 0.01 |
TemperatureDependence | See temperature Dependence | None | string | Required | "WLF" |
ReferenceTemeprature | Temperature at which data is calculated for the initialization step. | K | Constant | Required only if TD is not "None" | 533 |
FreezeTemperature | This is the no flow temperature. Below this temperature, material ceases to flow. | K | Constant | Required only if TD is not "None" | 350 |
ActivationEnergy | A parameter required by Arrhenius model. | J/mol | Constant | Required only if Td is Exp(Q/RT) | 16628 |
UniversalGasConstant | A parameter from state equation PV = nRT, R is universal gas constant | J/mol/K | Constant | Required onlyh if TD is Exp (Q/RT) | 8.314 |
TemperatureSensititvy | A derived parameter which has the same physical meaning as Q/R. | K | Constant | Required only if TD is Exp(Tb/T) | 2000 K |
WLFConstant1 | Constant C1 of WLF model | none | Constant | Required only if TD is WLF | 17.44 |
WLFConstant2 | Constant C2 of WLF model. This is like DeltaT, hence the value is same in K and Celsius. | K | Constant | Required only if TD is WLF | 51.6 |
GlassTransitionTemperature | Temperature below with polymer molecules ceases to move (frozen). There are few definitions of this term. | K | Constant | Required only if TD is WLF | 320 |
Beta | Parameter in the relationship Exp(-Beta(DeltaT)) | None | Constant | Required only if TD is exp(-Beta(Delta T)) | 0.005 |