Spriggs Power Law Model
This is a three-paramter model described by the following equation.


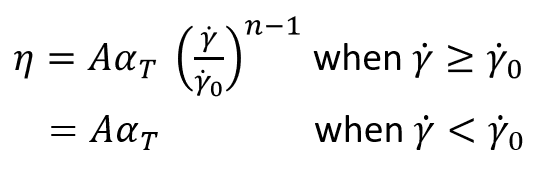
This model describes the viscosity using a power-law relationship. The exponent n determines the nature of the relationship. Unlike the power-law model where the Consistency A has complex units Pa-s^n, here the consistency is identical to viscosity. This is because the effective shear rate is normalized with zero shear rate limit. This makes the data easily understandable.
Syntax
| Polymer | PolymerName | { |
| ConstituveModel = | "SpriggsPowerLaw" | |
| Density = | ρ | |
| SpecificHeat = | Cp (T) | |
| Conductivity = | K (T) | |
| CoeffOfThermalExpansion = | βT | |
| VolumetricHeatSource = | Qvol | |
| Consistency = | A | |
| Exponent = | n | |
| ZeroShearRate = | γ0 | |
| TemperatureDependence = | "None" } |
Explanation of Parameters
| Parameter | Description | Units | Data Type | Condition | Typical Value |
|---|---|---|---|---|---|
| ConstitutiveModel | Describes the model used | None | String | Required | "SpriggsPowerLaw" |
| Density | Density fo the polymer | kg/m^3 | Constant | Required | 995.0 |
| SpecificHeat | Specific heat at constant pressure | J/kg/K | Constant/F(T) | Required | 2000.0 |
| Conductivity | Thermal conductivity | W/m/K | Constant/ F(T) | Required | 0.167 |
| CoeffOfThermalExpansion | Indicates the change in volume with change in temperature | 1/K | Constant | Required | 1.0e-05 |
| VolumetricHeatSource | Heat generated/removed in the volume by methods like electrical heating | W/m^3 | Constant | Required | 0.0 |
| Consistency | One of the parameters of the power law model. When n=1 it is the same as viscosisty. | pa s^n | Constant | Required | 1.0e+04 |
| Exponent | Power law index, defines the dependency of viscosity on shear rate. | None | Constant | Required | 0.66 |
| ZeroShearRateLimit | See above | 1/s | Constant | Required | 0.01 |
| TemperatureDependence | See Temperature Dependence | None | String | Required | "Exp(-Beta(DeltaT))" |
| ReferenceTemperature | Temperature at which data is calculated for the intialization step. | K | Constant | Required only if TD is not "None" | 533 |
| FreezeTemeprature | This ist eh no flow temperature. Below this temperature, material ceases to flow. | K | Constant | Required only if TD is not "none" | 350 |
| ActivationEnergy | A parameter required by Arrhenius model. | J/mol | Constant | Required only if TD is Exp(Q/RT) | 16628 |
| UniversalGasConstant | A parameter from state equation PV=nRT, R is universal gas constant. | J/mol/K | Constant | Required only if TD is Exp (Q/RT) | 8.314 |
| TemperatureSensitivity | A derived parameter which has the same physical meaning as Q/R. | K | Constant | Required only if TD is Exp(Tb/T) | 2000 K |
| WLFConstant 1 | Constant C1 of WLF model | None | Constant | Required only if TD is WLF | 17.44 |
| WLFConstant2 | Constant C2 of WLF model. This is like DeltaT, hence the value is same in K and Celsius. | K | Constant | Required only if TD is WLF | 51.6 |
| GlassTransitionTemperature | Temperature below with polymer molecules ceases to move (frozen). There are few definitions of this term | K | Constant | Required only if TD is WLF | 320 |
| Beta | Parameter in the relationship Exp(-BetaDeltaT)) | None | Constant | Required only if TD is Exp(-Beta(DeltaT)) | 0.005 |
F(T) - Function of Temperature. Can be specified as a TABLE1 or TCL function.
TD - TemperatureDependence